-

Тип: Учебник, часть 1, 2, 3
Автор: Петерсон Л.Г.
Издательство: Ювента
Год: 2014
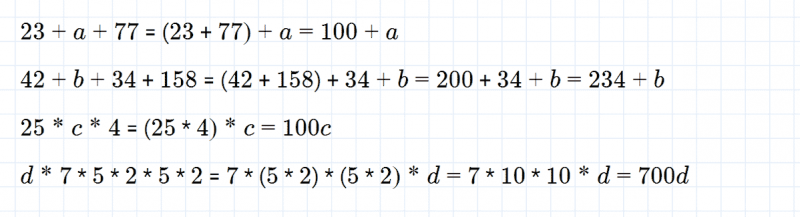
На этой странице представлено подробное решение задания номер 11 урока 14 из сборника ГДЗ к учебнику часть 2 по математике 3 класс автора Петерсон Л.Г.
Решение №11 урок 14 часть 2
