-

Тип: Учебник, часть 1, 2, 3
Автор: Петерсон Л.Г.
Издательство: Ювента
Год: 2015
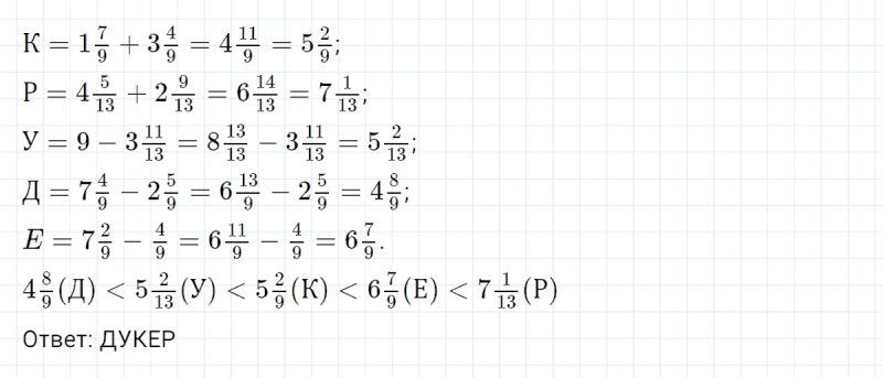
На этой странице представлено подробное решение задания номер 14 урока 30 из сборника ГДЗ к учебнику часть 2 по математике 4 класс автора Петерсон Л.Г.
Решение №14 урок 30 часть 2
