-

Тип: Учебник
Автор: Мерзляк А.Г., Полонский В.Б., Якир М.С.
Издательство: Вентана-Граф
Год: 2014
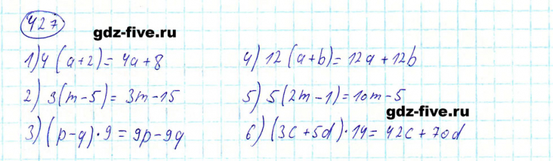
На этой странице представлено подробное решение номера 427 из сборника ГДЗ к учебнику по математике 5 класс авторов Мерзляк, Полонский, Якир.
Решение №427
