-

Тип: Учебник
Автор: Никольский С.М., Потапов М.К,, Решетников Н.Н., Шевкин А.В.
Издательство: Просвещение
Год: 2014
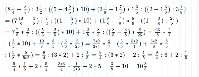
На этой странице представлено подробное решение номера 1130 из сборника ГДЗ к учебнику по математике 5 класс авторов Никольский, Потапов, Решетников, Шевкин.
Решение №1130
