-

Тип: Учебник, часть 1, 2
Автор: Виленкин Н.Я., Жохов В.И., Чесноков А.С., Александрова Л.А., Шварцбурд С.И.
Издательство: Просвещение (ФГОС)
Год: 2023
На этой странице представлено подробное решение номера 6.278 страница 131 из сборника ГДЗ к учебнику 2023 часть 2 по математике 5 класс авторов Виленкин, Жохов, Чесноков издательство Просвещение.
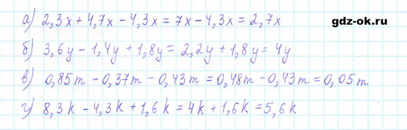
Номер 6.278 к учебнику 2023
