-

Тип: Рабочая тетрадь, часть 1, 2, 3
Автор: Мерзляк А.Г., Полонский В.Б., Якир М.С.
Издательство: Вентана-Граф
Год: 2019
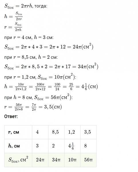
На этой странице представлено подробное решение номера 345 из сборника ГДЗ к рабочей тетради часть 2 по математике 6 класс авторов Мерзляк, Полонский, Якир.
Решение №345, часть 2
