-

Тип: Учебник
Автор: Виленкин Н.Я., Жохов В.И., Чесноков А.С., Шварцбурд С.И.
Издательство: Мнемозина
Год: 2013
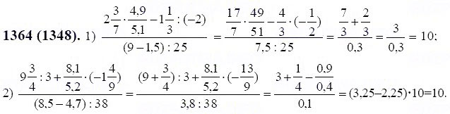
На этой странице представлено подробное решение номера 1364 из сборника ГДЗ к учебнику по математике 6 класс авторов Виленкин, Жохов, Чесноков, Шварцбурд.
Решение №1364
