-

Тип: Учебник
Автор: Зубарева И.И., Мордкович А.Г.
Издательство: Мнемозина
Год: 2014
На этой странице представлено подробное решение номера 482 из сборника ГДЗ к учебнику по математике 6 класс авторов Зубарева, Мордкович.
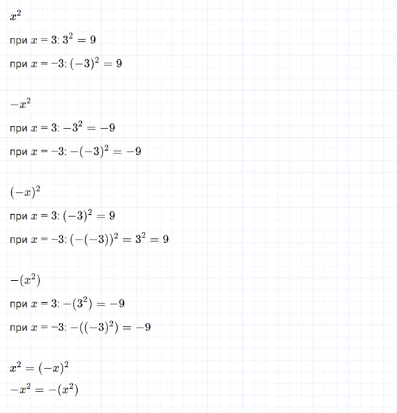
Решение №482


Тип: Учебник
Автор: Зубарева И.И., Мордкович А.Г.
Издательство: Мнемозина
Год: 2014
На этой странице представлено подробное решение номера 482 из сборника ГДЗ к учебнику по математике 6 класс авторов Зубарева, Мордкович.
Решение №482
