Задание 1
На одной проволоке 10 шариков, а на другой — на 3 шарика меньше. Сколько всего шариков на двух проволоках?

Сравни эту задачу с той, которую решали на прошлом уроке. В этой задаче тоже нельзя сразу ответить на её вопрос.
Составь план решения.
1. Что узнаешь сначала и как это узнаешь?
2. Что узнаешь потом и как?
Запиши решение и ответ.
Ответ:
План решения
1. Узнаем сколько шариков на второй проволоке
2. Узнаем сколько шариков на двух проволоках
1) 10 — 3 = 7
2) 10 + 7 = 17
Всего 17 шариков
Задание 2
Рассуждая так же, реши задачу.

В одной коробке 6 цветных карандашей, в другой — на 2 карандаша меньше.
Сколько всего карандашей в двух коробках?
Ответ:
План решения
1. Узнаем сколько карандашей в другой коробке
2. Узнаем сколько карандашей в двух коробках
1) 6 — 2 = 4
2) 6 + 4 = 10
Всего 10 карандашей
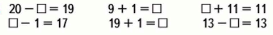
Задание 3

Ответ:
20 — 1 = 19
18 — 1 = 17
9 + 1 = 10
19 + 1 = 20
2 + 11 = 13
13 — 0 = 13
Задание 4

Ответ:
12 — 2 — 7 = 3
13 — 10 — 2 = 1
6 + 10 + 1 = 17
19 — 9 — 1 = 9
10 + 8 + 0 = 18
20 — 1 + 0 = 19
Задание внизу страницы
Составь задачу по её решению.
1. 8 — 6 = 2
2. 8 + 2=10
Всего 10 тетрадей
Ответ:
У Димы было 8 тетрадей, а у Миши на 6 тетрадей меньше. Сколько всего тетрадей было у Тани и Юры?
Задание на полях
Цепочка.

Ответ:
Цепочка:
2 + 8 = 10
10 + 7 = 17
17 — 10 = 7
7 + 3 = 10